Skip to content

NCERA-101

Committee on Controlled Environment Technology and Use

  • About NCERA-101
  • Activities
  • Meetings
    • Next Meeting
    • Past NCERA-101 Meetings
    • Station Reports
    • Other Meetings of Interest
    • Chronology of Meeting Locations and Chairpersons
  • Publications
    • Containment
      (BioSafety)
    • Growth Chamber Handbook
    • History of NCERA-101
    • International Controlled Env. Guidelines
    • Lighting in Controlled Environments
    • NCERA 101 Member Publications
    • Phytotronics
    • Seminal Controlled Environment Plant Research References:
    • International Lighting Conference 1994 Talks
    • Additional Useful Resources
  • Officers
  • NCERA-101 Members
  • Awards
    • NCERA-101 Awards for 2021
    • NCERA-101 Awards for 2019
    • NCERA-101 Awards for 2017
    • NCERA-101 Awards for 2013
    • NCERA-101 Awards for 2009
    • NCERA-101 Awards for 2008
    • NCERA-101 Awards for 2007
    • NCERA-101 Awards for 2006
    • NCERA-101 Awards for 2005
    • NCERA-101 Awards for 2002
  • Guidelines

Media Category: 1994 International Lighting Conference

Fig Kin 3

Leave a comment
Read More

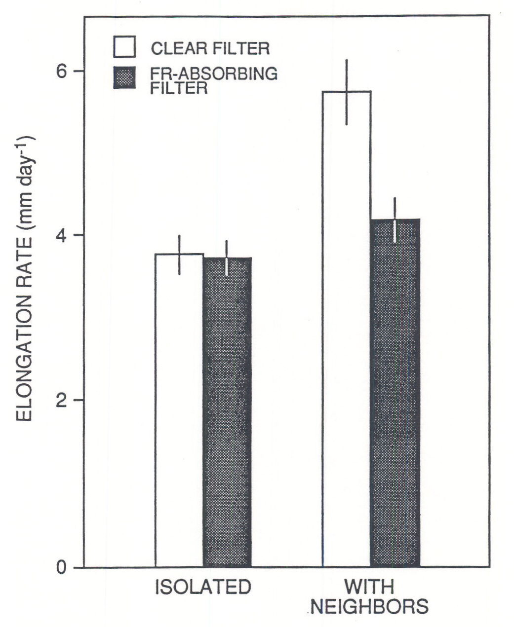
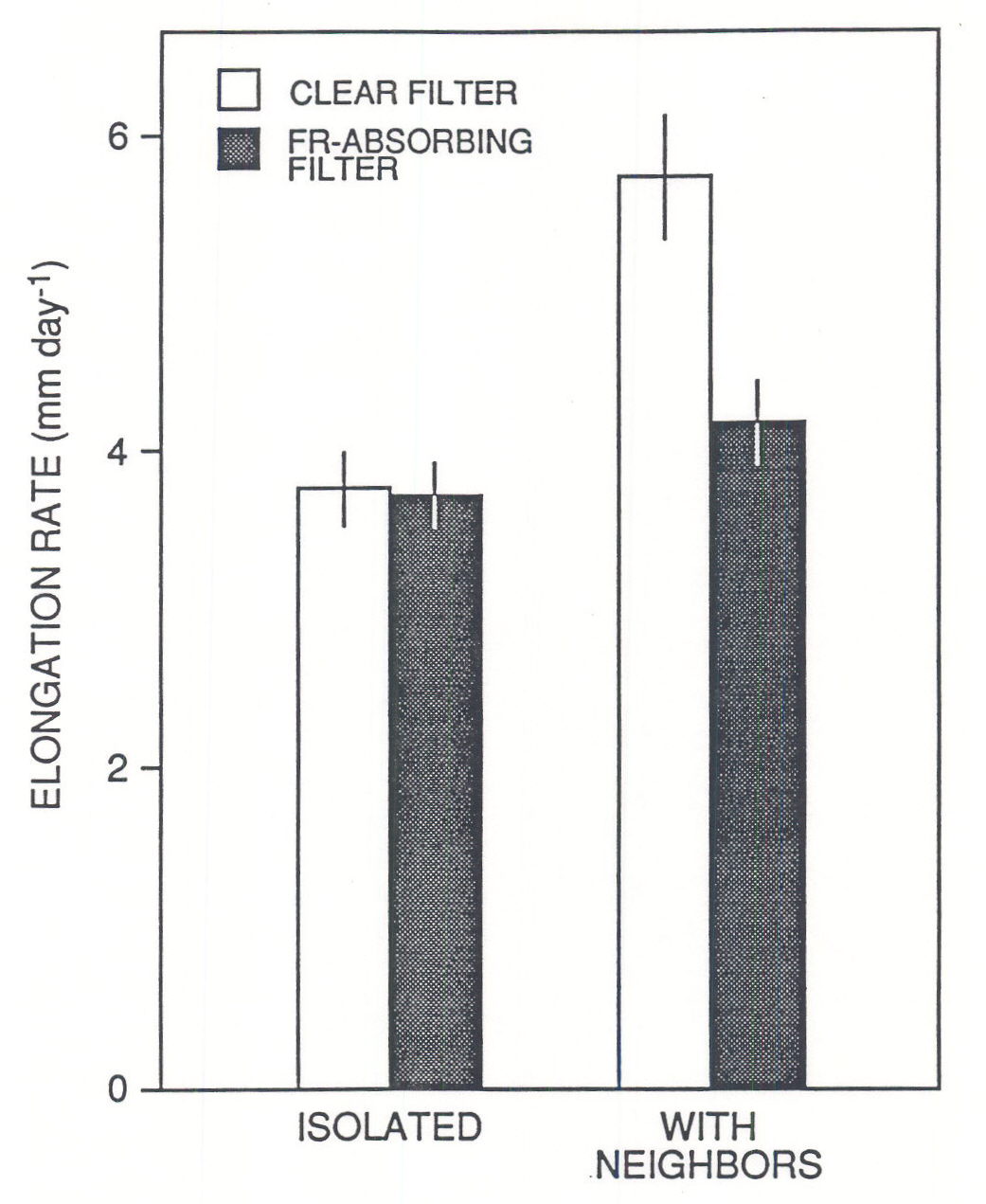
Fig Kin 1 & 2

Leave a comment
Read More

Fig Bal 5

Leave a comment
Read More

Fig Bal 4

Leave a comment
Read More

Fig Bal 3

Leave a comment
Read More

Fig Bal 2

Leave a comment
Read More

Fig Bal 1

Leave a comment
Read More

Fig Dow 1

Leave a comment
Read More

Fig Smi 4

Leave a comment
Read More

Fig Smi 3

Leave a comment
Read More

Posts navigation

Older posts

Recent Posts

  • Hello world!

Recent Comments

    Archives

    • February 2017

    Categories

    • Uncategorized

    Meta

    • Log in
    • Entries feed
    • Comments feed
    • WordPress.org
    APLU Award
    NCERA101 CEA IMPACTSTATEMENTS
    NCERA101_awards booklet write-up

    AgInnovation

    © All right reserved 2016

    Education Base by Acme Themes